
Cumhurbaşkanlığının Seyhan'da iptal kararı hangi mahalleleri kapsıyor? İşte dönemin Bakanlar Kurulu Kararları
Cumhurbaşkanı Erdoğan'ın imzasıyla yayınlanan kararnameye göre, Seyhan'da kentsel dönüşüm projeleri iptal edildi. Kucuksaat.com 2017 yılı belgelerine ulaştı
A+A-
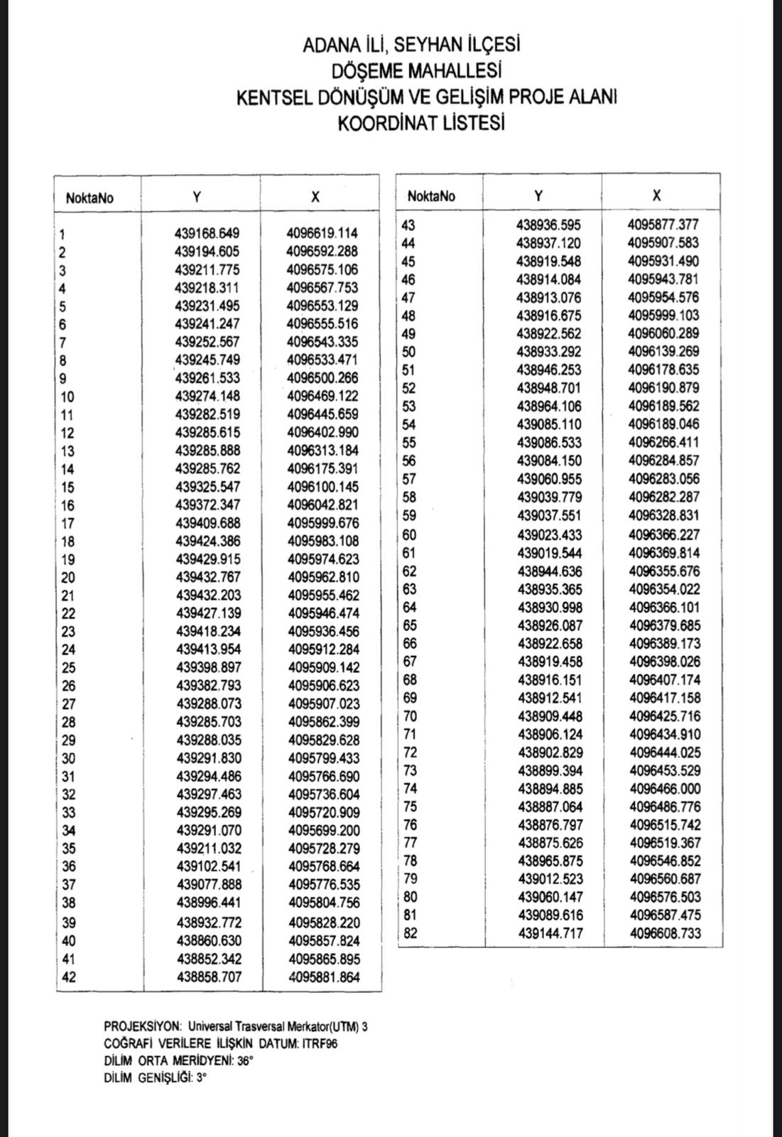
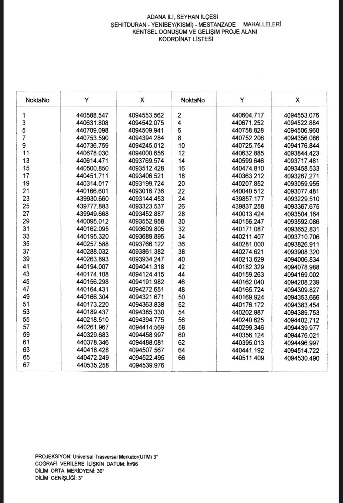
Kucuksaat.com Döşeme, Mestanzade, Şehitduran ve Yenibey (kısmi) mahallelerinde 2017 yılında Çevre ve Şehircilik Bakanlığı'nca kentsel dönüşüm projesi kapsamına alınan, 19 Nisan 2024 tarihinde ise Cumhurbaşkanlığı kararnamesi ile kentsel dönüşüm projesi iptal edilen Bakanlar Kurulu kararına ulaştı.
İşte detaylar;






Önceki ve Sonraki Haberler



HABERE YORUM KAT
Türkçe karakter kullanılmayan ve büyük harflerle yazılmış yorumlar onaylanmamaktadır.