
Cumhurbaşkanı kararnamesi yayınlandı: Adana’da yüzlerce parselde acele kamulaştırma kararı verildi
Mersin-Adana-Osmaniye-Gaziantep Yüksek Standartlı Demiryolu Hattı İnşaatı kapsamında Adana'da çok sayıda yere acele kamulaştırma kararı Resmi Gazete'de yayımlandı. İşte detaylar...
A+A-
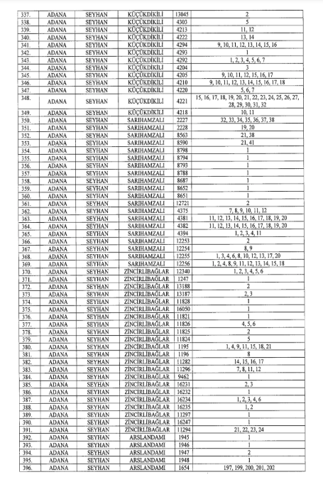
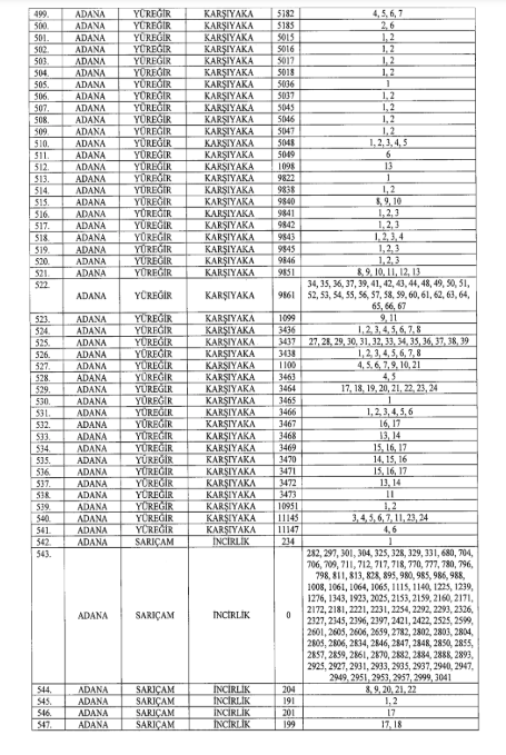
Mersin-Adana-Osmaniye-Gaziantep Yüksek Standartlı Demiryolu Hattı İnşaatı ile Elektromekanik Sistemlerin Temini Projesi Kapsamında Mersin, Adana, Osmaniye, Gaziantep ve Kahramanmaraş İlleri Sınırları İçerisinde Bulanan Taşınmazlar ile Üzerlerindeki Muhdesatın Türkiye Cumhuriyeti Devlet Demiryolları İşletmesi Genel Müdürlüğü Tarafından Acele Kamulaştırılması Hakkında verilen karar resmi gazetede yayımlandı.
Kararda yer alan Adana'da kamulaştırılacak yerlerin ada ve parsel bazında bilgileri şöyle;








Önceki ve Sonraki Haberler



HABERE YORUM KAT
Türkçe karakter kullanılmayan ve büyük harflerle yazılmış yorumlar onaylanmamaktadır.